Pandoc系列 - 2. tex → docx 常见问题与解决方案
在处理 tex 文件转换为 docx 文件时,可能会遇到一些问题。
下面是对于一些情况的讨论以及解决方案。
1. 文献问题
1.1 生成参考文献 --citeproc 和 --bibliography
【问题描述】tex 文件使用 bibtex 格式引用文献: 1
2\bibliographystyle{plain} % 参考文献格式
\bibliography{bibfile} % bib文件名tex → docx 转换: 1
pandoc -s input.tex -o output.docx\cite{XXX} 也没有显示
【解决方案】进行 tex → docx 转换时添加以下指令: 1
pandoc -s template.tex --citeproc --bibliography=template.bib -o template.docx
说明:
--citeproc:让 Pandoc 内置的 “citation processor” 工作:- 识别文中的引用(比如 [@Smith2020] 这种 pandoc-style 引用)
- 按照引用样式把它们排版成真正的引文格式
- 自动生成文末参考文献列表(bibliography)
--bibliography=template.bib:指定参考文献数据库文件。- citeproc 会从这个 .bib 里按键值(key)查文献条目。
- 文献格式和引用格式还有问题,还需进一步调整
1.2 调整文献格式 --csl
- 不做任何设置的前提下,
Pandoc会使用默认的参考文献格式Chicago author-date。如下图所示
- 在使用
Pandoc进行tex→docx转换时,可以任意指定docx的参考文献格式,并且docx的参考文献格式不需要和tex中的参考文献格式相同。
步骤如下
- 去 Zotero Style Repository 下载一个数字型样式:在浏览器访问以下网址 搜索 numeric 或 ieee 或 7714 之类,点进去后点击 “Download Style”,保存为本地文件,这里我们将 7714 存为 china.csl。
1
https://www.zotero.org/styles
在
meta.yaml添加1
2bibliography: template.bib
csl: numeric.csl # 或你下载的那个 csl 文件名执行以下指令进行
tex→docx转换:注意,这里指令不再需要1
pandoc -s template.tex --citeproc --metadata-file=meta.yaml -o template.docx--bibliography=template.bib--csl=china.csl
因为已经在
meta.yaml中指定了。最后参考文献列表和文章中\cite引用效果如下

2. 字体问题
数学字体
- ❌:\({\rm d}\)
${\rm d}$无法处理,Pandoc 会报错 - ✅:\(\mathrm{d}\)
$\mathrm{d}$可以处理,Pandoc 不报错
latex 公式
- ❌:\(\mathop {\lim }\limits_{t \to \infty } \dot V(e,\tilde \theta )\) (
$\mathop {\lim }\limits_{t \to \infty } \dot V(e,\tilde \theta )$) - ✅:\(\lim_{t\to\infty} \dot V(e,\tilde\theta)\) (
$\lim_{t\to\infty} \dot V(e,\tilde\theta)$)
3. 公式问题
3.1 安装 pandoc-tex-numbering 滤波器
【问题描述】章节、公式都没有编号
\section{XXX}和\subsection{XXX}等章节编号,在word中不显示eqnarray环境中的公式没有自动编号
【解决方案】安装 pandoc-tex-numbering 滤波器
conda创建python环境1
conda create -n pandoc_py310 python=3.10激活环境
接下来的操作都在1
conda activate pandoc_py310pandoc_py310环境下进行。pip安装pandoc-tex-numbering插件1
pip install pandoc-tex-numbering进行
tex→docx转换时使用以下指令:1
pandoc template.tex --citeproc --bibliography=template.bib -F pandoc-tex-numbering -o tempalte.docx
说明:
- 只改命令行参数是解决不了“自动编号”的问题的
- 必须加一个专门的 pandoc 过滤器,在 LaTeX→Word 的转换过程中,把 eqnarray 等环境里的编号“补”出来。
pandoc-tex-numbering:这个过滤器就是处理从 LaTeX 转成 docx 时【自动编号】的问题。--filter/-F(二者等价):调用外部可执行程序作为过滤器(这里是pandoc-tex-numbering,所以可以推测:pip安装pandoc-tex-numbering插件后,提供了一个可执行程序)
3.2 eqnarray 环境慎用(这里只是讲解 Pandoc 转换 tex 文件时与 eqnarray 环境不兼容的解决方案,eqnarray 与 Pandoc 结合会有很多问题,本节方案只能解决一部分问题,不能都完美解决,完美方案可以直接阅读 3.2.5 节)
3.2.1 eqnarray 环境中 \nonumber 失效
【问题描述】Pandoc 进行 tex → docx 转换时,直接使用eqnarray 环境主要有两个问题:
Pandoc会将eqnarray环境中的公式整块处理,不能实现在最后一行添加自动编号eqnarray环境中的\nonumber指令在Pandoc中失效
具体见下图 
根本原因:
pandoc-tex-numbering只在multiline-environments环境,才会识别\nonumber。multiline-environments环境包括- cases
- align
- aligned
- gather
- gathered
- multline
- flalign
- 注意:
multiline-environments环境不包括eqnarray环境。
【解决方案1】(☆推荐这种方案) Latex中 eqnarray 环境都替换为 align 环境,这样 \nonumber 指令才可以正常工作
【解决方案2】 把 eqnarray 环境加入 multiline-environments,具体操作有两种途径(以下方案二选一即可)
直接命令行添加
-M1
2
3
4
5pandoc template.tex \
--citeproc --bibliography=template.bib \
-F pandoc-tex-numbering \
-M multiline-environments="cases,align,aligned,gather,gathered,multline,flalign,eqnarray" \
-o template.docx用 meta.yaml:
tex文件同目录新建一个meta.yaml:然后执行以下指令进行转换:1
multiline-environments: "cases,align,aligned,gather,gathered,multline,flalign,eqnarray"1
2
3
4
5pandoc template.tex \
--citeproc --bibliography=template.bib \
-F pandoc-tex-numbering \
--metadata-file=meta.yaml \
-o template.docx
配置好以后,
eqnarray就会像align一样按行处理,这一行末尾有\nonumber就不会编号。如果想整个
eqnarray都不要编号,那就给每一行都加上\nonumber(包括最后一行)。如果只想让中间几步不编号,就只在这些行后面写
\nonumber进行上述操作后,
eqnarray环境中\nonumber指令就可以正常工作了,见下图。
3.2.2 行间公式环境:默认强制编号
这里行间公式环境指的是 $$...$$ 和 \[...\]
- Pandoc 就是会为
$$...$$和\[...\]这些环境中的公式添加编号。 - Pandoc 没有办法彻底取消
$$...$$和\[...\]这些环境中的编号
【解决方案】
Latex中
$$...$$和\[...\]环境都替换为align环境(或者eqnarray环境,但是需要进行 3.3 节中的【解决方案2】操作)然后添加
\nonumber指令,即可取消编号。
3.2.3 Pandoc 进行 tex → docx 转换时,支持用户自定义指令,前提是用户自定义指令需要合法
下面这种自定义指令是可以的 1
\newcommand{\rmd}{{\mathrm{d}}}\rm而不是因为自定义) 1
\newcommand{\rmd}{{\rm{d}}}
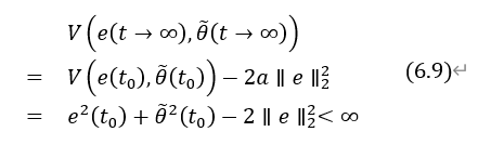
3.2.4 公式编号含有章节编号
【问题描述】pandoc-tex-numbering 可以为章节和公式添加编号,但是公式编号包含章节编号,但是我们希望全文公式统一编号,不附带章节信息
上述问题具体见下图 
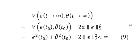
【解决方案】
pandoc-tex-numbering里有个总的参数number-reset-level,意思是在哪一级 section 时把计数器归零:默认
number-reset-level: 1:在每个一级标题(section/chapter)处重置,所以会得到 (6.1)、(6.2) 这种风格;如果想“永远不重置”,可以设成
0或一个非常大的数。具体操作:新建一个 meta.yaml,内容如下
然后命令行:1
2
3
4number-reset-level: 0 # 不随 section 重置
equation-src-format: "\\qquad({this_num})"
equation-ref-format: "{this_num}"
equation-cref-format: "({this_num})"1
2
3
4
5pandoc template.tex \
--citeproc --bibliography=template.bib \
-F pandoc-tex-numbering \
--metadata-file=meta.yaml \
-o template.docx
上述方案效果如下 
3.2.5 公式引用问题:最好还是禁用 eqnarray
【问题描述】eqnarray 环境经过前面的方案,可以解决一些问题,但在引用上还是会有很多奇怪的问题。比如
eqnarray环境添加\label后,其他位置引用公式时用\eqref指令,虽然引用标号可以正确显示,但是引用不会自动添加括号- 多个
\eqref公式引用只能保证最后一个有显示,前面的\eqref都没有显示
【解决方案】
彻底禁用
eqnarray环境- 彻底放弃
eqnarray,只用amsmath的equation/align/split/aligned环境 - 多行只打一 个编号:用
equation+ (split/aligned) 套娃写法 (equation在外层)1
2
3
4
5
6
7
8
9
10
11
12
13
14\begin{equation}
\begin{aligned}
f(x) &= x^2 + 2x + 1 \\
g(x) &= \sin(x)
\end{aligned}
\label{eq:quadratic}
\end{equation}
\begin{align}
a &= b + c \label{eq:align1} \\
d &= e - f \label{eq:align2} \\
g &= h \nonumber \\
i &= j + k \label{eq:align3}
\end{align} - 不想编号的多行:老老实实在每行加
\nonumber - 用
\label+\eqref,括号交给pandoc-tex-numbering的metadata控制
- 彻底放弃
创建
meta.yaml1
2
3
4
5
6
7
8# Pandoc-TeX-Numbering 过滤器设置
number-reset-level: 1 # 编号随 section 重置,不重置设为 0
# 公式编号设置
number-equations: true # 让过滤器接管所有公式编号
equation-src-format: "\\qquad({num})" # 公式右侧显示:(1)
equation-ref-format: "({num})" # \ref / \eqref 显示:(1)
equation-cref-format: "({num})" # 若将来用 \cref 也是加括号执行
1
2
3
4
5pandoc template.tex \
--citeproc --bibliography=template.bib \
-F pandoc-tex-numbering \
--metadata-file=meta.yaml \
-o template.docx
4. 交叉引用编号问题
4.1 公式引用
以 “公式 (3.1)” 为例:
- {num} = 完整编号串:“3.1”
- {this_num} = 当前层的编号:“1”
- {parent_num} = 上一层编号(就是章节号):“3”
所以:
- 要 3.1 这种编号 → 用
number-reset-level: 1控制,按 section 重置 - 想在 中只要 “3.1” → {num};
- “{prefix}{num}” → “3.1” (默认 “.” 连接)
- “{prefix}-{num}” → “3-1”
4.2 定理引用
1 | |
创建 meta.yaml 1
2
3
4
5
6
7
8# 定理编号设置
number-theorems: true # 让过滤器接管所有定理编号
prefix-space: true # “定理 3.1”中“定理”和“3.1”之间空格
theorem-names: "thm,lem" # 告诉过滤器:有 \begin{thm} 和 \begin{lem} 环境
theorem-thm-prefix: "定理" # 前缀文字(引用时显示)
theorem-lem-prefix: "定理" # 前缀文字(引用时显示)
thm-thm-src-format: "定理 {parent_num}.{this_num}" # 源位置的格式:“定理 3.1”
thm-thm-ref-format: "{num}" # \ref{thm:stab} 的显示:“3.1”
然并卵
【Pandoc的局限】
- 定理编号和引用强制从 1 开始
{parent_num}.{this_num}对于定理环境失效
4.3 图片引用
创建 meta.yaml 1
2
3
4
5
6# 图片编号设置
number-figures: true
figure-prefix: "图"
fig-src-format: "{prefix}{parent_num}-{this_num}" # “图 3-1”
fig-cref-format: "{prefix}{parent_num}-{this_num}" # \cref 同样样式
fig-ref-format: "{parent_num}-{this_num}" # \ref 只要数字1
2
3
4
5pandoc template.tex \
--citeproc --bibliography=template.bib \
-F pandoc-tex-numbering \
--metadata-file=meta.yaml \
-o template.docx
4.4 表格引用
Latex 中表格建议这样写(因为下面方式与Pandoc兼容) 1
2
3
4
5
6
7
8
9
10
11
12
13
14\begin{table}[htbp]
\centering
\caption{控制器参数整定结果}
\label{tab:ctrl-params}
\begin{tabular}{ccc}
\hline
参数 & 数值 & 说明 \\
\hline
$K_p$ & 1.2 & 比例系数 \\
$K_i$ & 0.5 & 积分系数 \\
$K_d$ & 0.01 & 微分系数 \\
\hline
\end{tabular}
\end{table}
创建 meta.yaml 1
2
3
4
5
6# 表格编号设置
number-tables: true
table-prefix: "表"
table-src-format: "{prefix}{num}" # 出现在 caption 里的格式:表3.1 控制器参数整定结果
table-ref-format: "{num}" # \ref{tab:...} 输出:3.1
table-cref-format: "{prefix}{num}" # \cref{tab:...} 输出:表3.11
2
3
4
5pandoc template.tex \
--citeproc --bibliography=template.bib \
-F pandoc-tex-numbering \
--metadata-file=meta.yaml \
-o template.docx